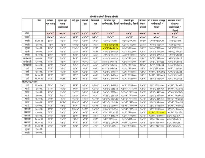
आयर्विन पूल सांगली येथे आज दुपारी 12 वाजता पाणीपातळी 52 फूट 9 इंच
ताजी बातमी
ईरानमधील बिघडलेली सुरक्षा व्यवस्था आणि सुरू असलेल्या हिंसक आंदोलनांच्या पार्श्वभूमीवर भारत सरकारने एक महत्त्वाची...
परराष्ट्र मंत्रालयाने (MEA) सर्व भारतीय नागरिकांना पुढील सूचना मिळेपर्यंत ईरानचा प्रवास टाळण्याचा कडक इशारा दिला असून, जे नागरिक...
राहुरीतील दर्गाह विटंबनेचा निषेध… दोषींवर कठोर कारवाईची मागणी..
अहिल्यानगर (प्रतिनिधी)- राहुरी येथील ऐतिहासिक दर्गाहमध्ये न्यायालयाचा आदेश धुडकावून बेकायदेशीररीत्या घुसखोरी करत दर्गाहची विटंबना करणाऱ्या समाजकंटकांवर तात्काळ...
प्रभाग ३ मधील घटनेबाबत पोलिसांची सखोल चौकशी सुरू..
निवडणूक निर्णय अधिकारी सुधीर पाटील
अहिल्यानगर, दि. १५ : अहिल्यानगर महानगरपालिकासार्वत्रिक निवडणुकीच्या मतदानादरम्यान प्रभाग...
चर्चेत असलेला विषय
यशवंत लॉज वर छापा दोन महिलांची सुटका देह व्यापार करण्यासाठी आणल्या होत्या महिला
यशवंत लॉजवर छापा दोन महिलांची सुटका देह व्यापार करण्यासाठी आणल्या होत्या महिला
नगर प्रतिनीधी:-पोलीस उपाधीक्षक अजित पाटील...
7 टाइम्स इंडियाने हवामान कृतीत नेतृत्व दाखवले
सध्या होत असलेल्या तातडीच्या हवामान बदलाच्या काळात, भारत अधिक पर्यावरणपूरक भविष्याकडे खऱ्या अर्थाने पावले उचलण्यात जागतिक नेता...
ओमायक्रॉनचा पुढचा प्रकार अधिक घातक? केंब्रिज विद्यापीठातील शास्त्रज्ञांचा संशोधनातून निष्कर्ष
लंडन : ओमायक्राॅनचा सध्या अस्तित्वात असलेला विषाणू हा फारसा धोकादायक नाही, ही त्याच्यात झालेल्या परिवर्तन प्रक्रियेतील एक चूक होती. मात्र, ओमायक्रॉनचा आगामी...
पालकमंत्री सतेज पाटील यांनी घेतला विस्थापितांचा आढावा
पालकमंत्री सतेज पाटील यांनी घेतला विस्थापितांचा आढावा
कोल्हापूर, दि. 23 (जिल्हा माहिती कार्यालय) : जिल्ह्याचे पालकमंत्री सतेज पाटील यांनी...






